2021년 1학기 자율프로그램 추첨 결과 안내 > 공지사항


소식터

공지사항

2021년 1학기 자율프로그램 추첨 결과 안내

페이지 정보

profile_image
작성자 관리자
댓글 0건 조회 4,916회 작성일 21-01-19 15:33

본문

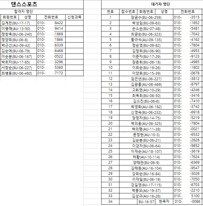
신청인원이 초과된 자율프로그램(건강체조1, 댄스스포츠,

   요가교실, 웃음교실) 추첨 내용 입니다.

 

d1f97473c23c2e4ccc4d843392b6f1cf_1611038049_8815.png

 

d1f97473c23c2e4ccc4d843392b6f1cf_1611038049_9853.png



d1f97473c23c2e4ccc4d843392b6f1cf_1611038050_0186.png 

 

 

d1f97473c23c2e4ccc4d843392b6f1cf_1611038049_938.png

댓글목록

등록된 댓글이 없습니다.